相关链接
诺宾®
酒石酸唑吡坦片

通用名称:酒石酸唑吡坦片

商品名称:诺宾

英文名称:Zolpidem Tartrate Tablets

汉语拼音:Jiushisuan Zuobitan Pian

酒石酸唑吡坦片
【药品名称】

通用名称:酒石酸唑吡坦片

商品名称:诺宾

英文名称:Zolpidem Tartrate Tablets

汉语拼音:Jiushisuan Zuobitan Pian

【成份】本品主要成份为酒石酸唑吡坦。
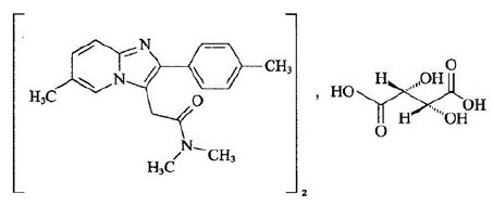
化学名称:N,N,6-三甲基-2-(4-甲基苯基)咪唑并[1,2-ɑ]吡啶-3-乙酰胺-L-(+)-酒石酸盐。

化学结构式:

分子式:(C19H21N3O)2·C4H6O6
分子量:764.88
【性状】本品为薄膜衣片,除去包后显白色或类白色。
【适应症】本品仅适用于下列情况严重睡眠障碍的短期治疗:
-偶发性失眠症
-暂时性失眠症
【规格】5mg
【用法用量】

口服给药。
剂量
一般人群
应用本品治疗通常使最低有效剂量,不得超过10mg。
成人常用剂量:每日 1次 ,每次 10mg。
本品应在临睡前服药或上床后用。 一晚只服用一次,不得多次复用。

注:详情请见产品说明书